Theory Centre News
|
New quantum behaviours in one dimensionApril 2025Swinburne researchers have discovered unexpected and entirely new quantum behaviors that only occur in one-dimensional systems, such as electrical current. Their new paper, published in Physical Review Letters, explores a fundamental question in quantum physics: what happens when a single "impurity" particle, such as an atom or electron, is introduced into a tightly packed crowd of identical particles. More information: Hui Hu, Jia Wang and Xia-Ji Liu, Exact Spectral Properties of Fermi Polarons in One-Dimensional Lattices: Anomalous Fermi Singularities and Polaron Quasiparticles, Physical Review Letters 134, 153403 (2025); https://doi.org/10.1103/PhysRevLett.133.083403. See also the media report by Phys.Org: https://phys.org/news/2025-04-quantum-behaviors-1d-reshape-material.html. |
Outstanding American Physical Society Referee Award and APS March meeting ChairDecember 2024Margaret Reid has received an Outstanding Referee Award from the American Physical Society (APS) (https://journals.aps.org/OutstandingReferees), and was Chair of the Quantum Foundations Session II at the recent APS March 2024 meeting in Minneapolis. |
|
Templeton Grant ProjectDecember 2024Margaret Reid and Peter Drummond were awarded a grant from the Templeton Foundation to study new approaches to foundations of quantum mechanics based on retrocausal dynamics. |
|
|
Special Issue Entropy articlesDecember 2024Two articles exploring interpretations of macroscopic quantum paradoxes were recently published in the physics journal Entropy: C Hatharsinghe, M Thenabadu, P D Drummond and M D Reid, A Macroscopic Quantum Three-Box Paradox: Finding Consistency with Weak Macroscopic Realism, https://doi.org/10.3390/e25121620, and J Fulton, M Thenabadu, R-Y Teh and M D Reid, Weak versus deterministic macroscopic realism, and Einstein-Podolsky-Rosen elements of reality, https://doi.org/10.3390/e26010011. The article by Jesse Fulton, Manushan Thenabadu, Run Yan Teh and Margaret Reid was featured on the cover of Entropy journal, and examines the interpretation of the Schrödinger cat state. See https://www.mdpi.com/1099-4300/26/1. |
|
Viewpoint article by Margaret ReidDecember 2024A Viewpoint article by Margaret Reid published in the American Physical Society's journal "Physics" examines the implications of a recent experiment realizing the Einstein-Podolsy-Rosen paradox for atomic clouds. For more details, see https://physics.aps.org/articles/v16/92 |
|
Finding all the Feynman diagrams for the Fermi polaron problemSeptember 2024Polaron has been a very active topic in solid-state physics and atomic physics. In a recent study, Hui Hu, Jia Wang and Xia-Ji Liu provide a general, exact theory to determine finite-temperature quasiparticle properties of Fermi polarons, which is important for the current exploration of polaron physics in cold-atom research and in condensed matter physics. Interestingly, their work presents a very rare case that a quantum many-body system can be exactly solved by working out the complete Feynman diagrams. This non-trivial case may inspire future developments of more accurate diagrammatic theories of strongly correlated Fermi systems. For more details, see the paper: “Theory of the Spectral Function of Fermi Polarons at Finite Temperature”, Hui Hu, Jia Wang, and Xia-Ji Liu, Phys. Rev. Lett. 133, 083403 – Published 19 August 2024; https://doi.org/10.1103/PhysRevLett.133.083403 |
Invited review article in AAPPS BulletinJanuary 2024A growing cohort of experimental linear photonic networks implementing Gaussian boson sampling (GBS) have now claimed quantum advantage. However, many open questions remain on how to effectively verify these experimental results, as scalable methods are needed that fully capture the rich array of quantum correlations generated by these photonic quantum computers. In a recently published review article, A. S. Dellios, M. Reid and P. D. Drummond reviewed recent theoretical methods to simulate experimental GBS networks. They focus mostly on methods that use phase-space representations of quantum mechanics, as these methods are highly scalable and can be used to validate experimental outputs and claims of quantum advantage for a variety of input states, ranging from the ideal pure squeezed vacuum state to more realistic thermalized squeezed states. A brief overview of the theory of GBS, recent experiments, and other types of methods are also presented. For more details, see the paper: “Simulating Gaussian boson sampling quantum computers”, Dellios, A.S., Reid, M.D. & Drummond, P.D. AAPPS Bull. 33, 31 (2023); https://doi.org/10.1007/s43673-023-00099-y |
|
Research progress on discrete time crystalDecemeber 2023Jia Wang and Bryan Dalton have been involved in a collaboration with Peter Hannaford and Krzysztof Giergiel from the Optical Sciences Centre and Krzysztof Sacha from Jagiellonien University in Poland on the topic of a new type of phase transition in periodically driven Bose-Einstein Condensates (BEC) in which the response of the condensate changes from the driving period to an integer multiple of this period - thereby forming a discrete time crystal (DTC). Two theory papers have been published – one (in New J Phys) for a BEC bouncing on an oscillating mirror, the other (in Phys Rev B Lett) for a BEC in ring cavity. In the latter case DTC behaviour is shown without approximations being required. |
|
Grassmann phase space theory for fermionic particlesDecemeber 2023Bryan Dalton and Stephen Barnett FRS from University of Glasgow have continued research on the topic of Grassmann phase space theory for treating many-body systems of fermionic particles. They have found that there are two different completeness relations for coherent states based on anti-commuting Grassmann phase space variables, unlike the single completeness relation for coherent states based on c-number phase space variables. This results in two different Glauber P phase space distribution functions in the fermion case versus one in the boson case. A paper discussing which version is preferable for applications of Grassman phase space theory has been published in Phys. Scr. |
|
Professor Bryan Dalton presented a talk at the Quantum Energy ConferenceDecemeber 2023Bryan Dalton presented a talk on Bell Non-Locality in Macroscopic Systems at the Quantum Energy Conference held in Melbourne in December 2023. This talk reviewed tests for Quantum Entanglement, EPR Steering as well as Bell Non-Locality in such systems, issues relevant to Quantum Theory Foundations. |
|
Professor Margaret Reid honoured as University Distiguished ProfessorJune 2023Distinguished Professor Margaret Reid is currently a Professor and Director of the Centre for Quantum Science and Technology Theory at Swinburne University. She is a Fellow of the Australian Academy of Science, the American Physical Society and the Optical Society of America. In 2019, Margaret received the Moyal Medal for her work pioneering how to generate and demonstrate correlations of the Einstein-Podolsky-Rosen paradox based on parametric down conversion. |
|
Quantum Central Limit Theorem derived by CQTT researcherMay 2023The Central Limit Theorem (CLT) is a cornerstone of statistics, serving as a powerful tool for making inferences about populations based on sample data. It states that even if a population does not have a normal distribution, the means of many samples drawn from it will form a normally distributed population, under some general and mild conditions. In the quantum domain, Professor Tien Kieu has now derived a Quantum Central Limit Theorem (QCLT) which serves as a powerful tool for understanding macroscopic behaviours of quantum systems. It provides a pathway for classical behaviours to emerge in the bulk from the random behaviour of quantum systems. Specifically, the QCLT allows us to derive probability distributions for the expectation values of macroscopically coarse-grained observables that consist of non-commuting operators. The QCLT probability distribution also allows us to evaluate certain differential entropies with non-trivial dependence on time, which is in marked contrast from the von Neumann entropy that behaves as a constant in time. Overall, the QCLT expands our understanding of quantum systems by illuminating the interplay between intrinsic quantum fluctuations and macroscopic classical behaviour. For more details, see the paper: “Quantum Central Limit Theorems, Emergence of Classicality and Time-Dependent Differential Entropy”, Kieu T.D., Entropy 2023, 25, 600 (2023); https://doi.org/10.3390/e25040600 |
|
Annual conference for the ANZ Association of Mathematical PhysicsMay 2023Dr Nathan Clisby co-organised, with Tim Garoni of Monash and David Ridout of the University of Melbourne, the annual conference for the Australian and New Zealand Association of Mathematical Physics (ANZAMP), held in Hobart in February of 2023. The meeting was a spectacular success, with a record number of participants and speakers, and with highlights including outstanding keynote talks from John Baez on The Tenfold Way and Milena Radnovic on Poncelet Prisms. |
|
Prof Bryan Dalton has been appointed an Associate Editor of Frontiers in Quantum Science and TechnologyApril 2023Congratulations to Professor Bryan Dalton! |
|
Outstanding Referee Award and Physical Review Letters Divisional EditorMarch 2023Professor Peter Drummond has received an Outstanding Referee Award from the American Physical Society. See the link: https://journals.aps.org/OutstandingReferees He has also completed his term as a Divisional Editor of Physical Review Letters, which is the American Physical Society’s flagship journal and the most highly cited journal in physics! |
|
Prof Margaret Reid Retires from Physical Review AMarch 2023Professor Margaret Reid has been thanked and acknowledged by Physical Review A for her “great expertise” and contribution to the journal as an Associate Editor. She has completed her three-year term during which she edited 700 papers in the section of Fundamental Concepts. See the link: https://journals.aps.org/pra/edannounce/margaret-reid-retires-from-pra |
|
Highly cited author in Physical Review AFebruary 2023Professor Margaret Reid has been listed by Exaly, as 8th most cited author of "Physical Review A" (all years). The list of papers includes her paper on how to realise the Einstein-Podolsky-Rosen paradox using nondegenerate parametric down conversion (two-mode squeezing). See the link: https://exaly.com/author/4359405/margaret-d-reid/rankings |
|
Dr. Ria Joseph obtains a faculty position at Deakin UniversityFebruary 2023Congratulations to Dr Ria Joseph who is now working at Deakin University as a lecturer in quantum computing! |
|
ARC Discovery Project successJanuary 2023Congratulations to Dr Nathan Clisby! Nathan has been awarded an ARC Discovery grant on the topic "Transformative simulation techniques for complex polymer networks", as part of a research team led by Professor Aleks Owczarek of the University of Melbourne. This project will involve the development of efficient new algorithms that will have wide impact in the study of polymer systems, and which will be used to study hitherto inaccessible physical regimes such as knotted polymers with thousands or even millions of monomers. |
|
Prof Xia-Ji Liu honoured with Fellowship of Australian Institute of Physics (FAIP)January 2023Professor Xia-Ji Liu has been elected a Fellow of Australian Institute of Physics (FAIP) for her achievements in the area of Quantum Physics. Fellowship is the highest level of membership attainable in the AIP. |
|
A/Prof Hui Hu appointed to the ARC College of ExpertsJanuary 2023Associate Professor Hui Hu has been appointed as a member in the ARC College of Experts for three years (2023-2025). Congratulations! |
|
Inaugural Physical Review Research Board MemberJanuary 2023Associate Professor Hui Hu continues his term as an inaugural Board Member of Physical Review Research. Physical Review Research is the American Physical Society’s major Open Access journal, encompassing all fields of physics. See the link: https://journals.aps.org/prresearch/staff |
|
|
An impressive art work by a CQTT researcher is featured by the exhibition "UNDUPLICATED" in Hong KongAugust 2022A non-traditional output of art work by a CQTT reseracher, ARC DECRA Fellow Jia Wang, has been exhibited in "UNDUPLICATED" from 26/08/2022 to 26/09/2022 in Hong Kong. This exhibition features a series of artworks across different disciplines that explores the examination of reality in unique and disparate ways. In the two-video visualization (see figures below), the dynamic of the bouncing balls on a driving mirror is observed from both real and phase space. The absence of chaos under particular conditions is visualized, which gives an intuitive explanation of the suppression of quantum thermalization and existence of time crystals in the quantum version of this system. |
|
A photo showing the two-channel video set-up of the work in the exhibition. The right screen shows the typical chaotic behaviour of the system in the real space, and left screen shows the corresponding full spreading of trajectories in the phase space. |
|
Under resonance driving, the constrained trajectory in phase space shows ergodic breaking, which explains the suppression of thermalization of the system. |
Exact Many-Body Solution for Fermi polaronsApril 2022The behaviour of an impurity immersed in a Fermi sea – the so-called Fermi polaron – is a long-standing problem in condensed matter physics. Over the last fifteen years, due to the unprecedented controllability, there are great efforts from ultracold atom community to quantitatively understand Fermi polaron. A few salient features of polarons have now been predicted by approximate diagrammatic theories, including the ground-state attractive polaron, the excited repulsive polaron with finite lifetime, the dark continuum and molecule-hole continuum that separate the attractive and repulsive polaron branches. Experimental observations of these salient features are important, providing a stringent test of the many-body theories of Fermi polarons. In this respect, an exact solution of the polaron problem that exactly establishes these salient features would be of great interest. However, in quantum many-body physics, exact solutions are very rare, especially in dimensions higher than one. In a most recent work, CQTT researchers proposed an exact solvable model of Fermi polarons in the heavy impurity limit and solved it by using a novel functional determinant approach (FDA). The key ingredient of their exact solvable model is the superfluid pairing gap of the many-body background, which strongly suppresses the multiple particle-hole excitations in the background BCS superfluid as the pair-breaking will cost energy. This avoids the famous “Anderson’s orthogonality catastrophe”, which would completely destroy the quasiparticle residue of a heavy impurity in a non-interacting Fermi sea due to infinitely many particle-hole excitations (i.e., the shaking of the Fermi sea). As a result, all the universal salient features of a polaron are revealed via an in-principle exact calculation. The model is also feasible to experimentally realise, by using, for example, heavy 133Cs atoms (as impurities) in a BCS Fermi superfluid of 6Li atoms. This work has been published in Physical Review Letters (PRL) and has been highlighted as one of the PRL Editors' Suggestions. See Link: Wang, Xia-Ji Liu, and Hui Hu |
|
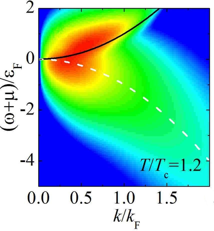
Second Sound Attentuation Near Quantum CriticalityFebruary 2022A unitary Fermi gas near a Feshbach resonance is a strongly correlated many-body system, supporting a novel Fermi superfluid that may universally exist in new functional materials of high-Tc superconductors and mysterious cosmic objects such as neutron stars and quark-gluon plasma in our early Universe. A direct manifestation of the novel superfluidity of the unitary Fermi gas is the probe of a critical mode called second sound (i.e., the out-of-phase motion of the superfluid and normal components of the system) and the measurement of its attenuation. This constituted a grand challenge over the past two decades to the cold-atom community. Recently, in collaboration with the experimental group at USTC Shanghai, CQTT researcher Hui Hu contributed to observing the second sound attentuation of a unitary Fermi gas near the superfluid transition. From the sound attenuation, various quantum transport coefficients such as the shear viscosity and thermal conductivity have been determined with unprecedented accuracy. More impressively, the high accuracy of the thermal conductivity data – measured for the first time – clearly reveals a critical divergence near the quantum critical regime, as theoretically anticipated. This work accomplishes a quantitative experimental examination of the dissipative two-fluid hydrodynamic theory in the unitary Fermi gas and paves a new way for determining the universal critical scaling functions in the strongly interacting regime. Moreover, the observed universal transport coefficients may provide insights into the anomalous transport of strongly correlated materials such as high-Tc cuprates. This work has been published in Science. See Link:
Xi Li, Xiang Luo, Shuai Wang, Ke Xie, Xiang-Pei Liu, Hui Hu, Yu-Ao Chen, Xing-Can Yao, and Jian-Wei Pan |
|
Prof Xia-Ji Liu appointed to the ARC College of ExpertsJanuary 2022Professor Xia-Ji Liu has been appointed as a member in the ARC College of Experts for three years (2022-2024). Congratulations! |
|
CQTT researchers are successful in academic promotionsDecember 2020Congratulations to Kai Qin and Nathan Clisby for their promotion to Level E (Professor) and Level C (Senior Lecturer), respectively. Well deserved! |
|
Prof Margaret Reid to receive 2019 Moyal MedalNovember 2019Professor Margaret Reid has been awarded the 2019 Moyal Medal. The Moyal Medal is awarded annually for research contributions to mathematics, physics or statistics, the areas of research of the late Professor José Enrique Moyal. For more information on the lecture and presentation of the 2019 Moyal Medal, see the link below: https://www.eventbrite.com.au/e/2019-moyal-medal-presentation-and-lecture-registration-76698016833 |
|
Prof Peter Drummond awarded the Weston Visiting ProfessorshipOctober 2019Professor Peter Drummond has been awarded a Weston Visiting Professorship at the Weizmann Institute of Science, Israel. The Weizmann Institute of Science is Israel's premier research institute, similar to the Princeton Institute of Advanced Studies. It is ranked in the world's top 25 institutions in the Leiden rankings. Professor Drummond will be in the Department of Physics of Complex Systems, researching computational simulation of many-body quantum dynamics. His host is the Dean of the Faculty of Physics, Professor Nir Davidson. |
|
Prof Margaret Reid has been appointed associate editor of PRAJune 2019Professor Margaret Reid joins the editorial staff of Physical Review A as a remote Associate Editor. Margaret’s main research interests are foundations of quantum mechanics, quantum information, and quantum optics. She has worked on various aspects of entanglement and nonlocality, including seminal work on Einstein-Podolsky-Rosen correlations for continuous-variable systems. She will be handling papers on Quantum Foundations and Entanglement. |
|
CQOS alumnus awarded NMI prizeApril 2019Congratulations to CQOS and SUT alumnus Michael Vanner who, at a national event on 16 April 2019 hosted at the University of Queensland, was awarded of one of the two National Measurement Institute Prizes for 2018! Michael currently leads the Quantum Measurement Lab at Imperial College London. His first publication was a CQOS paper from SUT. See link: https://www.measurement.gov.au/measurementsystem/Pages/WorldMetrologyDay.aspx |
|
CQOS Researchers win two of the 2018 FSET Research AwardsJune 2018CQOS Researchers were celebrated in the 2018 Faculty of Science, Engineering and Technology Research Award ceremony: FSET Research Excellence Award – Winner: Prof Margaret Reid FSET Woman Research of the Year – Commendation: Prof XiaJi Lu |
|
Prof Bryan Dalton honoured with Fellowship of the Institute of PhysicsJune 2018Professor Bryan Dalton has been elected a Fellow of the Institute of Physics (UK) for his achievements in the area of Quantum Optics. Fellowship is the highest level of membership attainable in the IOP. Fellows are elected through a peer-review process and their election is recognition of their accomplishments in physics and the impact they have made in their sector. |
|
Quantum Scientists win major APS awardsFebruary 2018International quantum scientists John Thomas (Davisson-Germer Prize) and Peter Zoller (Norman Ramsey Prize) were honoured with major awards of The American Physical Society in 2018. John Thomas has pioneered the study of strongly interacting Fermi gases, an integral part of CQOS laboratory research as well. Peter Zoller is an expert in quantum information theory, which is also studied in theoretical work at CQOS. These awards demonstrate the huge and increasing significance of quantum and optical science in modern physics. |
|
CQOS paper chosen as a Journal of Physics A Highlight of 2017February 2018Professor Peter Drummond's article, “Coherent functional expansions in quantum field theory” was selected for inclusion in the Journal of Physics A Highlights of 2017 collection. This collection of highlights from Journal of Physics A: Mathematical and Theoretical, showcases some of the excellent papers we published in 2017. |
|
Realizing Fulde-Ferrell Superfluids via a Dark-State Control of Feshbach ResonancesJanuary 2018Finite-momentum pairing superfluidity, or the so-called Fulde-Ferrell-Larkin-Ovchinikov (FFLO) state, has been studied and pursued for over half-century in different fields of physics, including condensed matter physics, nuclear physics and most recently ultracold atoms. Yet, its existence remains elusive. In ultracold atomic Fermi gases, the conventional scenario of spin-population imbalance leads to a rather narrow window for FFLO states, which makes them extremely difficult to observe. In a recent theoretical work, CQOS theorists, together with Assistant Professor Lianyi He from Tsinghua University in Beijing, proposed that a typical form of FFLO states — the long-sought Fulde-Ferrell superfluid — can be realized in ultracold two-component Fermi gases of 40K or 6Li atoms by optically tuning their magnetic Feshbach resonances via the creation of a closed-channel dark state with a Doppler-shifted Stark effect. In this scheme, two counter- propagating optical fields are applied to couple two molecular states in the closed channel to an excited molecular state, leading to a significant violation of Galilean invariance in the dark-state regime and hence to the possibility of Fulde-Ferrell superfluidity. The resultant Fulde-Ferrell superfluid has remarkable properties, such as anisotropic single-particle dispersion relation, suppressed superfluid density at zero temperature, anisotropic sound velocity, and rotonic collective mode. The latter two features can be experimentally probed using Bragg spectroscopy, providing a smoking-gun proof of Fulde-Ferrell superfluidity. This work has been published in Physical Review Letters. Link to papers: [1] Lainyi He, Hui Hu, and Xia-Ji Liu, Phys. Rev. Lett. 120, 045302 (2018). |
|
Prof Margaret Reid has been appointed to the Editorial board of PRAJanuary 2018Prof. Margaret Reid has been appointed to the Editorial board of Physical Review A, the main refereed journal of record for the American Physical Society, in the areas of atomic, molecular, optical physics and quantum information. Every year, Physical Review A publishes more than 2,700 articles. Its articles are downloaded internationally over 1.6 million times a year. Margaret specializes in Quantum Optics, Entanglement, and Quantum Information. See: PRA staff list |
|
Prof Margaret Reid is honoured with a Fellowship of the American Physical SocietyOctober 2017Citation: Margaret Reid has made pioneering contributions to quantum optics and quantum information science. She has originated ways to test the fundamental concepts of nonlocality, squeezing, Einstein-Podolsky-Rosen (EPR) paradoxes, entanglement and macroscopic superpositions in quantum optical systems. |
|
CQOS publication receives Editor's suggestion award from Physical Review AOctober 2017CQOS researchers have carried out a full quantum simulation of the photon-phonon interaction in an optomechanical system, receiving an Editor's suggestion award from prestigious US physics journal, Physical Review A. The novel simulations were carried out by graduating CQOS PhD students Run Yan Teh and Simon Kiesewetter, whose PhD research was supervised by Margaret Reid and Peter Drummond. The implications for the quantum storage of coherent states are discussed, showing that even with current experimental parameters, strong nonlinear effects can dominate spectral features and reduce the quantum memory fidelity, with important implications for quantum technology. See: R. Y. Teh, S. Kiesewetter, M. D. Reid, and P. D. Drummond, |
|
Novel Test of Quantum Mechanics ProposedSeptember 2017Harvard's pioneering quantum theorist, Wendell Furry, suggested that quantum paradoxes might be explained if separated particles experienced decoherence. However, this idea has never been tested. These ideas are more important now, as quantum theory is now probed ever more deeply. In their recent Physical Review Letter, CQOS theoretical physicists Simon Kiesewetter, Run Yan Teh, Peter Drummond and Margaret Reid, have calculated that this idea is now testable in recently developed experiments based on the technology of quantum optomechanics. While such tests are challenging, they are feasible in cryogenic experiments where massive optomechanical systems can be cooled to their ground state. The proposal is to use such devices as a quantum memory for entangled quantum states to test the Furry hypothesis for the first time. See Link: S. Kiesewetter, R. Y. Teh, P. D. Drummond, and M. D. Reid, |
|
Swinburne CQOS physicists awarded “Spotlight on Optics”May 2016In joint work with Kaled Dechoum of the Fluminense Federal University in Brazil, CQOS physicists Laura Rosales-Zárate and Peter Drummond were given the Spotlight on Optics recognition of the Journal of the Optical Society of America, in a highlighted article of May 2016. Their research: “Critical fluctuations in an optical parametric oscillator: when light behaves like magnetism” shows that when interacting with a nonlinear optical device, light can behave as an exotic type of magnetic material, displaying new types of phase transition. Complex spatial patterns have been observed previously, but these new patterns and phase-transitions in optics are entirely generated from quantum noise. Additionally, they fall into a novel class of phase-transitions, which are not readily observed in fluids or solids. These optical phase transitions are created and controlled through quantum non-equilibrium effects with an external laser, giving great tunability and potential for applications. |
|
CQOS salutes LIGOFebruary 2016An incredible observation of a long sought gravity-wave event, combining pioneering and dedicated research of many physicists, both in AMO physics and in astrophysics. Reed more at physics.aps.org: Viewpoint: The First Sounds of Merging Black Holes This is a first step towards gravity-wave astronomy, with advanced LIGO most likely to use quantum squeezing for more improvements, and the LISA gravity-wave space observatory in future... |
|
CQOS Professor elected as QUICC vice-chairJanuary 2016The QUICC elections are over now! The Vice-Chair of QUICC — the Australian Institute of Physics topical group on QUantum Information, Concepts and Coherence — is CQOS Professor Margaret Reid. As Vice-chair Margaret will help to organize the AIP sessions on quantum information at the 2016 AIP Congress in Brisbane, as well as representing the interests of this community at the AIP. |
|
CQOS entangles Australia and the RhineJanuary 2016SUT had a strong presence at the international Heraeus conference "Macroscopic Entanglement", organized by the German Physical Society at Bad Honnef on the Rhine. CQOS Professor Margaret Reid gave the keynote talk to open the conference. Peter Drummond gave an invited talk, and CQOS graduate student Simon Kiesewetter also participated. LIGO physicists were involved as well. |
|
ANZSUP summer school a big successDecember 2015The summer school in ultra-cold physics, developed at SUT, was a success in Dunedin, Otago in December 2015, with a new name — ANZSUP. With over 50 student participants, lectures from world leaders in ultra-cold physics and Nobel Laureate Bill Phillips, the event was extremely popular. SUT theory was represented by Peter Drummond and Margaret Reid, while Chris Vale gave the SUT experimental view. |
|
Physics.org article: Einstein's 'spooky' steering needed for secure quantum teleportationDecember 2015Researchers including Swinburne University of Technology's Dr Laura Rosales-Zarate and Professor Margaret Reid, together with a team from China and Europe, have demonstrated the precise requirements for secure quantum teleportation. While sounding like something from science fiction, secure quantum teleportation is essential for a future quantum internet that allows information to be transmitted with absolute security. "Teleportation works like a sophisticated fax machine, where a quantum state is transported from one location to another," Professor Reid said. |
|
"Successes in Quantum Technology" by M. D. ReidSeptember 2015On Wed 2 Sep 2015, Professor Margaret Reid of CQOS at SUT gave a presentation to Engineers Australia, on quantum computing. About the Presentation: Quantum mechanics is a theory in physics proposed at the beginning of last century to explain observations like the hydrogen spectrum. The theory has been remarkably successful. Its development caused a revolution in technology, making possible discoveries that have impacted our lifestyle, such as computers, lasers (communications) and magnetic resonance (medical imaging). Despite that it seemed to be correct, famous scientists like Einstein and Schrodinger were worried by some apparently absurd quantum predictions. The theory seemed to imply things (even a cat) could be in two places at once. Towards the end of last century, it was proposed that these weird “superposition and entanglement” properties might be utilized for further advantage in technology. This was the birth of the fields of “quantum technology” and “quantum information”. Feynman suggested the possibility of a quantum computer that can perform certain tasks much more quickly than a classical computer. Bennett pointed out the potential to use quantum effects to secure messages by providing a cryptography that is absolutely unbreakable. Using quantum mechanics, it has been proposed how to make ultra-sensitive measurements, to detect gravity waves from outer space, and to teleport information from one place to another without loss of microscopic detail and with absolute security. There have been experimental breakthroughs but the challenge has been to conquer “decoherence”. We take a look at the quantum world: We reflect on the quantum past; grapple with the weird properties of the quantum qubit; learn about Alice, Bob and Eve; and think of what quantum technologies might offer for the future. About the Speaker: Margaret Reid is a Research Professor at the Centre for Quantum and Optical Science at Swinburne University of Technology. She undertook Ph D studies in New Zealand with Dirac medalist Dan Walls, and later became an Australian Research Council QEII Fellow and chief investigator for the Australian Research Council Centre of Excellence in Quantum and Atom Optics. As a postdoctoral fellow she worked both in New Zealand and at ATT Bell and IBM Laboratories in the USA to develop theories for the generation of squeezed states of light. She was elected as a Fellow of the Optical Society of America and more recently as a Fellow of the Australian Academy of Science, for her work on the Einstein-Podolsky-Rosen paradox and its applications to quantum teleportation and cryptography. |
|
Swinburne Professor appointed to Physical Review Letters Editorial BoardJuly 2015Professor Peter Drummond, FAA, of Swinburne University of Technology, has been appointed Divisional Associate Editor of the prestigious US journal, Physical Review Letters. His specialist role for the journal is in Laser Science. Professor Drummond's research also includes computational and ultra-cold physics. Physical Review Letters is the highest impact dedicated physics journal in the world, for original research. It is operated by the Americal Physical Society. It publishes short, high quality reports of significant and notable results in the full arc of fundamental and interdisciplinary physics research. |
|
Extending Einstein's spooky action for use in quantum networksJanuary 2015An international team, including researchers from Swinburne University of Technology, has demonstrated that the 1935 Einstein-Podolsky-Rosen (EPR) quantum mechanics paradox may be extended to more than two optical systems, paving the way for exploration of larger quantum networks. Read more at the Swinburne Media Centre. Published in Nature Physics 11, 167–172 (2015) |
|
|
"Phase Space Methods for Degenerate Quantum Gases" by Bryan J. Dalton, John Jeffers, and Stephen M. Barnett published by Oxford University PressNovember 2014Recent experimental progress has enabled cold atomic gases to be studied at nanokelvin temperatures, creating new states of matter where quantum degeneracy occurs — Bose-Einstein condensates and degenerate Fermi gases. Such quantum states are of macroscopic dimensions. This book presents a phase space theory approach for treating the physics of degenerate quantum gases, an approach already widely used in quantum optics. However, degenerate quantum gases involve massive bosonic and fermionic atoms, not massless photons. The book begins with a review of Fock states for systems of identical atoms, where large numbers of atoms occupy the various single particle states or modes. First, separate modes are considered, and here the quantum density operator is represented by a phase space distribution function of phase space variables which replace mode annihilation, creation operators, the dynamical equation for the density operator determines a Fokker-Planck equation for the distribution function, and measurable quantities such as quantum correlation functions are given as phase space integrals. Finally, the phase space variables are replaced by time dependent stochastic variables satisfying Langevin stochastic equations obtained from the Fokker-Planck equation, with stochastic averages giving the measurable quantities. Second, a quantum field approach is treated, the density operator being represented by a distribution functional of field functions which replace field annihilation, creation operators, the distribution functional satisfying a functional FPE etc. A novel feature of this book is that the phase space variables for fermions are Grassmann variables, not cnumbers. However, we show that Grassmann distribution functions and functionals still provide equations for obtaining both analytic and numerical solutions. The book includes the necessary mathematics for Grassmann calculus and functional calculus, and detailed derivations of key results are provided in Appendices. Typical applications for both few mode and field theory cases are presented. Endofchapter exercises are also provided. The intended readership is postgraduate students and researchers in the fields of condensed matter, cold quantum gases and quantum optics. |
Gapless inhomogeneous topological superfluid foundSeptember 2014Topological superfluids are recently discovered quantum matters that host topologically protected gapless edge states known as Majorana fermions – exotic quantum particles that act as their own anti-particles and obey nontrivial non-Abelian statistics. Their realisations are widely known to lie at the heart of future technologies such as fault-tolerant quantum computation. In the literature, it is commonly believed that a topological superfluid should be gapped in the bulk and the nonzero energy gap is necessary for protecting Majorana fermions. In the two recent theoretical works reported by CQOS theorists, however, this common sense was challenged. By using in-plane Zeeman field in a cold-atom setup of strongly interacting spin-orbit coupled atomic Fermi gases, CQOS theorists proposed a new scheme to induce the topological phase transition and discovered the existence of a new-type topological superfluid, which has a number of unique features that are absent in the previously known topological superfluids. These include the spatially inhomogeneous (Fulde-Ferrell) pairing order parameter, gapless excitations in the bulk, and unidirectional Majorana surface states at the edges. This conceptually new exotic state of matter – to be realised soon in cold-atom laboratories - may shed lights on designing gapless topological materials in solid-state systems, whose potential applications are yet be understood. These two works, describing the gapless topological superfluidity in 2D and 3D, have been published in Physical Review Letters [1] and Physical Review A [2], respectively. References: [1] Y. Cao et al., Phys. Rev. Lett. 113, 115302 (2014) [2] H. Hu et al., Phys. Rev. A 90, 033624 (2014) |
|
Swinburne Future Fellows awarded $2.5 millionJuly 2014Three Swinburne University of Technology researchers have been awarded prestigious Future Fellowships valued at more than $2.5 million from the Australian Research Council (ARC). They are Dr Damien Hicks, Dr Glenn Kacprzak and Associate Professor Xia-Ji Liu. Their success builds on Swinburne’s top 100 international ranking in physics, by the Academic Ranking of World Universities, according to Swinburne Deputy Vice-Chancellor (Research and Development) Professor George Collins. Dr Hicks, from Swinburne’s Centre for Micro Photonics has been awarded $966,891 for Ultrafast Photonic Electron Microscopy: Visualising dynamics at the nanoscale. Dr Kacprzak from Swinburne’s Centre for Astrophysics and Supercomputing has been awarded $747,629 for Simulating galaxy ecosystems, which will increase the understanding of gas cycling, star formation and star death around galaxies. Associate Professor Liu from Swinburne’s Centre for Quantum and Optical Science has been awarded $804,152 for Finding the lost particle: Majorana fermions in ultracold atoms. |
|
Margaret Reid's article on phys.orgJune 2014Margaret Reid's article "Einstein vs quantum mechanics, and why he'd be a convert today" has been published on phys.org. |
|
SUT theory paper in top ten Physica Scripta downloadsMay 2014SUT theory paper on "Simulating Bell violations without quantum computers" rockets to top ten list of Physica Scripta downloads in the first month of publication, with over 200 downloads already. |
|
|
"Quantum Theory of Nonlinear Optics" by P. D. Drummond and M. Hillery published by Cambridge University PressMay 2014Playing a prominent role in communications, quantum science and laser physics, quantum nonlinear optics is an increasingly important field. This book presents a self-contained treatment of field quantization and covers topics such as the canonical formalism for fields, phase-space representations and the encompassing problem of quantization of electrodynamics in linear and nonlinear media. Starting with a summary of classical nonlinear optics, it then explains in detail the calculation techniques for quantum nonlinear optical systems and their applications, quantum and classical noise sources in optical fibers and applications of nonlinear optics to quantum information science. Supplemented by end-of-chapter exercises and detailed examples of calculation techniques in different systems, this book is a valuable resource for graduate students and researchers in nonlinear optics, condensed matter physics, quantum information and atomic physics. A solid foundation in quantum mechanics and classical electrodynamics is assumed, but no prior knowledge of nonlinear optics is required. |
SUT results on secure internet featured in Science DailyMarch 2014Einstein's skepticism about quantum mechanics may lead to an ultra-secure Internet, a new paper suggests. In 1935, Einstein and researchers highlighted a 'spooky' theory in quantum mechanics, which is the strange way entangled particles stay connected even when separated by large distances. In the new research, the authors show that entangled messages "can be shared between more than two people and may provide unprecedented security for a future quantum Internet." |
|
Work on multipartite steering featured in Swinburne newsMarch 2014Einstein's scepticism about quantum mechanics may lead to an ultra-secure internet suggests a new paper by researchers from Swinburne University of Technology and Peking University. |
|
|
Professor Margaret Reid elected Fellow of the Australian Academy of SciencesMarch 2014Professor Margaret Reid from Swinburne University of Technology has been elected to the Fellowship of the Australian Academy of Science for her pioneering work in new fundamental tests of quantum theory, including teleportation and cryptography. |
|
Nature Physics paper on realization of 1D quantum liquid with tunable spinFebruary 2014A team of Italian and Australian scientists have realized one-dimensional (1D)quantum liquid with tunable spin in a paper published the prestigious Nature Physics on 3rd February, 2014. This realization has been made by the European Laboratory for Non-linear Spectroscopy (LENS) team led by Lenardo Fallani and Massimo Inguscio together with theorists Xia-Ji Liu and Hui Hu of Swinburne University of Technology in Melbourne. |
|
VSSUP Summer School held at SUT — with 50 local and international attendeesJanuary 2014The Victorian Summer School for Ultracold Physics, 2014, was a 9 day summer course of lectures at the postgraduate level, on ultra-cold physics — the science of temperatures as low as a billionth of one degree above absolute zero. This year, there was a special emphasis on low dimensional systems.
The VSSUP School was proposed by A/Prof Margaret Reid of the Faculty of Science Engineering and Technology (FSET), and is now in its third year. It is organised by the Center for Quantum and Optical Science (CQOS) at SUT. The main sponsors in 2014 were FSET, CQOS and Swinburne Research at SUT. |
|
First probabilistic simulation of Bell violations published in Physics Letters AJanuary 2014B. Opanchuk, L. Rosales-Zárate, M. D. Reid, P. D. Drummond, "Probabilistic simulation of mesoscopic “Schrödinger cat” states", Phys. Lett. A 378(13), 946–949 (2014)
We investigate Feynman's claim that probabilistic simulation of quantum systems is impossible by providing, we believe, an important explicit counterexample. We carry out a probabilitistic simulation of the moments of an extreme Schrödinger cat quantum superposition state: namely, the N-partite Greenberger–Horne–Zeilinger (GHZ) state, that has been shown to violate multipartite Bell inequalities for all N. |
Three Postdoctoral Fellowships available in Theoretical PhysicsJanuary 2014Three Postdoctoral Research Fellows with strong theoretical skills and a solid background in ultracold quantum gases and quantum physics are sought to work on existing projects, funded by the Australian Research Council, with Assoc. Prof. Xia-Ji Liu and Hui Hu. The research will be carried out at the Theory Group in the Centre for Quantum and Optical Science (CQOS). |
|
Vice-Chancellors Award for Research Excellence awarded to Fermion groupDecember 2013
Xia-Ji Liu, Hui Hu, Peter Drummond, Chris Vale and Peter Hannaford |
|
ARC Discovery research grants to A/Prof Margaret Reid and Xiaji LiuNovember 2013After winning four ARC Discovery Project grants last year, CAOUS researchers have won a further three DP grants to commence in 2014. This represents an outstanding success for the Centre and is testament to the quality of our research and our researchers. |
|
|
Multipartite Einstein-Podolsky-Rosen Steering paper published in PRLNovember 2013Q.Y. He and M. D. Reid, "Genuine Multipartite Einstein-Podolsky-Rosen Steering", Phys. Rev. Lett. 111, 250403 (2013) Einstein's reservations about quantum mechanics were encapsulated in the 1935 Einstein, Podolsky, Rosen paradox, which highlighted the theory's strange nonlocality. In this paper, we give theoretical proof that special quantum states allow Einstein's nonlocality to be genuinely shared among many observers, regardless of the spatial separation between them. These states possess a property (which Schrodinger called "steering") that not all quantum entangled states have, and may provide unprecedented security for a future quantum internet. |
|
Future Fellowship for A/Prof. Hui HuNovember 2013A/Prof. Hui Hu has been awarded a prestigious ARC Future Fellowship in the 2013 round. This is great honour for Hui and for CAOUS and will alow him to advance our understanding of fermionic supefluidity, an area of intense interest currently. |
|
Proposal for quantum simulations of the early universe published in Annalen der PhysikSeptember 2013B. Opanchuk, R. Polkinghorne, O. Fialko, J. Brand and P. D. Drummond, "Quantum simulations of the early universe", Ann. Phys. 525, 866–876 (2013) A procedure is described whereby a linearly coupled spinor Bose condensate can be used as a physically accessible quantum simulator of the early universe. In particular, an experiment to generate an analog of an unstable vacuum in a relativistic scalar field theory is proposed. This is related to quantum theories of the inflationary phase of the early universe. There is an unstable vacuum sector whose dynamics correspond to the quantum sine-Gordon equations in one, two or three space dimensions. Numerical simulations of the expected behavior are reported using a truncated Wigner phase-space method, giving evidence for the dynamical formation of complex spatial clusters. Preliminary results showing the dependence on coupling strength, condensate size and dimensionality are obtained. |
|
Swinburne theory featured in The Physics Arxiv BlogSeptember 2013Swinburne Theory paper on Quantum Simulations of the Early Universe, to appear in Annalen der Physik, is featured in The Physics Arxiv Blog. |
|
|
VSSUP 2014 summer-school website is onlineAugust 2013The website can be found here. |
|
|
PRL editors feature SwinburneJanuary 2013Hui Hu and Xia-Ji Liu's prediction of the electronic states close to an impurity embedded in a topological superfluid, and how it could be used to prove that the superfluid existed, was featured by the American Physical Society. |
|
StrathclydeApril 2013Bryan Dalton has been reappointed as a Visiting Professor at University of Strathclyde. Bryan Dalton gave an invited talk on Grassmann Phase Space Methods for Fermion Systems at the Quantum Technology Conference, Warsaw, Poland in September 2012. |
|
Keynote addressSeptember 2012Associate Professor Margaret Reid to give keynote address on foundations of quantum mechanics. Details: Associate Professor Margaret Reid will give a plenary address at: Ninth Vienna Central European Seminar of Particle Physics and Quantum Field Theory November 30 - December 02, 2012 Conference Topics DARK MATTER, DARK ENERGY, BLACK HOLES AND QUANTUM ASPECTS OF THE UNIVERSE See the conference website for details. |
|
Chinese international linkage grant awarded to CAOUS researcherAugust 2012A prestigious international linkage grant has been awarded to a CAOUS researcher, Assoc. Prof. Hui Hu, in the 2012 round. This two-year linkage grant, under the scheme of Overseas, Hong Kong & Macao Scholars Collaborated Researching Fund by the National Natural Science Foundation of China (NSFC, Chinese equivalent of ARC), will provide a total of A$30,000 to carry out the collaboration with Professors Su Yi and Changpu Sun at the Institute of Theoretical Physics, Beijing. Grant details are listed below: NSFC-China 11228410 Project abstract |
|
Professor Peter Drummond promoted to University Distinguished ProfessorAugust 2012University Distinguished Professor is the highest academic position available at Swinburne University of Technology. For this promotion the applicant must be able to demonstrate outstanding and significant international recognition and prominence in research. The award of the status and promotion will be based on recognition of past research eminence and will also have regard to ongoing research status. Specific indicators may include:
|
|
Exotic Skyrmion Lattice Phase in Spin-Orbit-Coupled Bose-Einstein CondensatesMay, 2012
Ultracold atoms - atoms at incredibly low temperatures that are only one billionth degree above
absolute zero temperature - have been proven to be an ideal table-top system to reveal novel
states of quantum matter. At such nano-Kelvin temperatures, bosonic atoms, such as 7Li, 23Na,
41K and 87Rb, accumulate into a single lowest-energy quantum state, forming highly coherent
matter known as Bose-Einstein condensate (BEC). First observed in 87Rb atoms in 1995, which
won its discoverer a Nobel Prize, BEC in atomic vapours opened new ways to explore the fundamental
physics of the intriguing quantum world, as well as to build atom lasers and other extraordinary
technologies. The latest development in ultracold atoms concerns the engineering of a synthetic
non-Abelian gauge field in 87Rb BEC [Nature 471, 83 (2011)], which leads to the coupling between
the spin and the orbital degrees of freedom of the atom. Such a spin-orbit coupling (SOC)
creates a new frontier that is endowed with a strong interdisciplinary character and a close
connection to other research fields, including condensed matter physics, quantum computation
and astrophysics. SOC is the key ingredient underlying topological insulators and quantum
Hall materials which are new types of functional materials that may lead to novel quantum
devices. This explains the recent tremendous interest in studying the physics of SOC in
the context of condensed matter physics and material science. |
|
CAOUS wins grantsFebruary 2012SUT theory group researchers were very successful in 2011, with fellowships and scholarship awards as follows: Dr Qiongyi He was awarded an Australian Research Council Discovery Early Career Researcher Award. Her topic is: Creation, detection, and decoherence of a “Schrodinger Cat”. Dr Laura E. C. Rosales-Zárate was awarded a postdoctoral Fellowship by the Mexican government under the program: “Estancias Postdoctorales y Sabáticas al Extranjero para la Consolidación de Grupos de Investigación. Convocatoria 2011-2012”. Her topic is: Theoretical study of strongly interacting fermions and fermionic polar molecules in low dimensions. Rodney Polkinghorne was awarded a Swinburne University Postgraduate Research Award. His topic is: Simulation of Condensed Gasses by Variation of their Coherent State Expansions. Adjunct Professor Bryan Dalton has obtained an E. T. S. Walton Visiting Researcher Award funded by the Science Foundation of Ireland to work with Dr Thomas Busch at University College, Cork for six months in 2012. The research topic is: Atom Interferometry as a Tool for Entanglement Detection. As part of the program Prof Dalton will give a course of lectures at UC Cork, present seminars at several Irish universities and participate in the UCC public awareness of science program. |
|
VSSUP 2012February 2012The second Victorian Summer School in Ultracold Atomic Physics will be held in Melbourne, Australia over a two week period during the June/July 2012 mid-year break. The School will incorporate approximately 6 lectures per day on current topics in ultracold physics presented by leaders in the field, leaving room for additional tutorials and discussions. The primary target for this school will be graduate students, although other researchers starting out in this field will also likely find the programme useful. |
|
|
CAOUS researcher wins prestigious ETS Walton FellowshipJanuary, 2012
CAOUS researcher Adjunct Professor Bryan Dalton has obtained a presigious E.T.S. Walton Visiting Researcher Award funded by
Science Foundation of Ireland to work with Dr Thomas Busch at University College, Cork for six
months in 2012. The research topic of the award is:
|
|
Novel fermionic superfluidity predicted by SUT theory groupNovember 2011Ultracold atoms have been proven to be an ideal table-top system to reveal novel state of matter. The latest development in ultracold atoms concerns the engineering of a synthetic non-Abelian gauge field [Nature 471, 83 (2011)], which leads to the coupling between spin and orbit degrees of freedom. Researchers at Swinburne's Centre for Atom-Optics and Ultrafast Spectroscopy have recently predicted a new anisotropic state of matter in spin-orbit coupled ultracold atomic Fermi gases, which consists of exotic quasi-particles with anisotropic effective mass. In the superfluid phase, these exotic quasi-particles exhibit salient features in the momentum distribution, single-particle spectral function and spin structure factor, easily detectable in current experiments. The work has been published in Physical Review Letters. Refer to the following paper for more details:
|
|
CAOUS researchers predict novel superfluidity in ultracold atomic Fermi gasesNovember, 2011
Ultracold atoms have been proven to be an ideal table-top system to reveal novel state of
matter. The latest development in ultracold atoms concerns the engineering of a synthetic
non-Abelian gauge field [Nature 471, 83 (2011)], which leads to the coupling between spin
and orbit degrees of freedom. |
|
Physics mystery solved by SUT theory27 September 2011In a new paper just accepted by Physical Review A, SUT theorists Shiguo Peng, Xiaji Liu, Hui Hu and Peter Drummond, have solved an outstanding physics mystery. Physicists have searched for a resonant particle-like structure in low dimensional systems of cold atoms, predicted by theorist Maxim Olshanii of University of Southern California. In a mysterious experiment carried out at Innsbruck University, the Austrian experimentalists found many new particle-like resonances - but none corresponding to the predictions. SUT theorists have now explained this. The new theory predicts resonances quite different to the Olshanii theory. These new anharmonic confinement-induced resonances (ACIR), are unique to the laser-light optical traps used in Innsbruck to channel trapped atoms. The new theory is a nearly perfect fit to the experimental observations. The few remaining unknown resonances are possibly due to multiple ACIR excitations. Shiguo Peng participated in the research while on student exchange from Tsinghua University in Beijing, China, as part of an ARC funded research exchange project. Refer to the following preprint for more details:
|
|
SUT Fermion research in the Spotlight30 August 2010Exact solutions to the three-body quantum challenge, given recently by Swinburne ACQAO theorists Xia-Ji Liu, Hui Hu and Peter Drummond, attracted a Viewpoint commentary in the prestigious online journal Physics [D. Blume, Physics 3, 74 (2010)]. A Viewpoint in Physics spotlights exceptional research published in American Physical Society journals including Physical Review Letters and Physical Review series. So far there are 204 Viewpoint commentaries highlighting important research works in physics, selected from about 40,000 journal publications in the past two years. The dynamics of three bodies is a famously insoluble classical problem. Despite this, it is completely soluble in quantum mechanics with local interactions, as shown by Liu, Hu and Drummond in their paper in Physical Review B [Phys. Rev. B 82, 054524 (2010)]. These authors give the first complete solution to the problem of three strongly interacting fermions in two dimensions, together with a companion paper in Physical Review A that treats the three dimensional case [Phys. Rev. A 82, 023619 (2010)]. Experimental quantum systems often have more than three particles. For these cases, Liu et. al. show how their three body results can be used to predict static and dynamic properties of many-body systems at high temperatures. This technique is called the quantum virial expansion, and it agrees extremely well with recent ultra-cold atomic experimental measurements in Paris and Melbourne. As well having direct applications to current ultra-cold atomic physics, this work therefore also gives insight into condensed matter physics questions of strongly interacting electrons, including superconductivity, the quantum Hall effect and ferromagnetism. The Viewpoint commentary describes this work as "an elegant series of papers", a "beautiful contribution that bridges the few-body and many-body worlds", "an important leap", "profound input", "correctly describes the key physics in a quantitative way", "a great deal of insight into the many-body problem". Refer to the following article for more details:
|
![]() |
Pseudogap Pairing of a Strongly Correlated Fermi Gas8 July 2010ACQAO theorists Hui Hu, Xia-Ji Liu, Peter Drummond, and visiting student Hui Dong at Swinburne University of Technology’s Centre for Atom Optics and Ultrafast Spectroscopy (CAOUS) have recently developed a new theoretical tool to elucidate the controversial pseudogap pairing in strongly correlated atomic Fermi gases. This new theoretical framework is motivated by a series of experiments at JILA (Colorado, USA), MIT (USA), Tokyo University (Japan) and SUT (Australia). All of these experiments focus on investigating the dynamical response of strongly-interacting ultra-cold Fermi gases to external fields. In this way, experimentalists have probed the dynamical structure of strongly correlated Fermi gases, to obtain information about mechanisms of pairing. Such questions have immediate relevance not just to ultra-cold atomic physics. They also help in the scientific understanding of other strongly interacting Fermi gases - from high-Tc superconductors to neutron stars - where there is a need to quantitatively decide which theoretical models are best. This theoretical work is vitally important because, for the first time in this field, it was shown how to apply a high-temperature virial expansion to dynamical problems in this exciting research on ultra-cold Fermi gases. Such virial expansions have exceptional significance because they are free of the usual problem of unjustified theoretical approximations. In the past, this led to a plethora of competing theories, without any clear way to distinguish them. Instead, by the use of high temperature expansions, theorists are now able to make use of a small parameter, namely the inverse temperature. This still allows one to investigate the topical problem of pseudogap pairing above the critical point, and is an important step towards more extended use of this method. This research shows an excellent agreement with recent experiments, where other methods have failed to obtain good agreement. For more details, see:
|
![]() | Top French laboratory confirms SUT prediction25 February 2010France's top physics lab, Ecole Normale Superieure in Paris, has published a new experimental study of ultra-cold atoms, one of the "hottest" fields of modern physics. Their paper published in Nature this month confirms a theoretical prediction made by Swinburne physicists. The SUT calculation, by Liu, Hu, and Drummond, worked out the equations describing a new form of matter. Outside of the laboratory, this new form of matter, a universal Fermi gas, is only found inside neutron stars. Swinburne physicists, using a novel theoretical approach, predicted a new value for the virial coefficient used to describe the universal gas. The predicted value was completely different from previous theories, even having the opposite sign. The first experiment in the world was carried out by Christoph Salomon last year, in Paris. The requirements for the experiment were to cool millions of atoms of lithium metal to a billionth of the temperature of outer space. The novel SUT theory was developed last year with funding from the Australian Research Council. It used exact mathematical solutions for one of the hardest problems in physics: the three-body quantum bound state. The results of the experiment matched theoretical predictions to the last measured decimal. The French laboratory's independent and careful experimental work at the frontiers of physics completely justifies the new theoretical approach developed in Australia. Understanding such cold temperatures is an advance in pure science today. Tomorrow's technology will be built on these types of development, as the physics of ultra-cold atoms is applied to new generations of quantum sensors and simulators.
|
![]() | EPR: From Concepts to Applications10 December 2009EPR entanglement is one of the fundamental mysteries of the quantum world, since it was proposed by Einstein, Podolsky and Rosen in 1935. Today, entanglement is the key building block of any quantum technology, and measures to quantify entanglement are an important tool. An international team of experts, led by Margaret Reid and Peter Drummond from ACQAO have provided a comprehensive review of our ability to generate and measure EPR entanglement. This overview has now appeared in Review of Modern Physics. |
![]() | Digital quantum memories: storing Schroedinger's catSchroedinger Cat states – which only acquire reality when observed – are the corner-stone of quantum mechanics. SUT researchers Q. He, M. Reid and P. Drummond have published an Optics Express article in which they propose a new architecture for quantum memories, allowing faithful storage of any quantum superposition or Schroedinger cat state. (See the press release for a more detailed summary.) |
![]() |
Developing axons use Bayes-optimal strategy to follow subtle chemical gradients18 June 2009In a recent PNAS article (also mentioned as a Science "Editors' Choice" article), Queensland Brain Institute biologists in Brisbane Australia together with Swinburne University theorist Tim Vaughan and other researches at Oxford University and University College London have demonstrated quantitative agreement of an optimal Bayesian "ideal observer" model of molecular gradient detection with the observed in vitro response of developing axons to extremely shallow gradients. |
![]() |
The neutron star on your table-top30 April 2009Swinburne University theorists Xia-Ji Liu, Peter Drummond and Hui Hu have developed a new path to investigating the inner world of neutron stars. Their novel approach uses exact solutions to the quantum theory of three bodies interacting very strongly. The results help explain the physics which holds inside a neutron star or for ultra-cold atoms. |
![]() |
Dr Margaret Reid has been elected a Fellow of the Optical Society of America27 November 2007Dr Margaret Reid has been elected a Fellow of the Optical Society of America for: `developing ways to test the fundamental concepts of nonlocality, squeezing, Einstein-Podolsky-Rosen paradoxes, entanglement and macroscopic superpositions in quantum optical systems'. |
![]() |
Prof. Peter Drummond awarded the Moyal Medal and Lecturer for 200722 October 2007Professor Peter Drummond has been awarded the Moyal Medal and Lecturer for 2007 for his distinguished contributions to physics. Macquarie University has established a Medal and a Lecture Series in honour of Professor Joe Moyal. The lectures are given annually at Macquarie University by the Medallist. |
![]() |
ACQAO members successful in the ARC grants26 September 2007Congratulations to Peter Drummond, Q. He, and John Hedditch for the successful ARC Discovery grant including an APF and APD fellowships! |
![]() |
Strongly Interacting Polarized Fermi Gases20 July 2007UQ ACQAO theory group explores the phase diagram, vortex bound states and thermodynamic properties of imbalanced Fermi gases near the broad Feshbach resonance. |
![]() |
Universal Behavior in Strongly Interacting Fermions6 June 2007In a recent Nature Physics article theorists at the University of Queensland Centre for Quantum-Atom Optics in Australia (Xia-Ji Liu & Peter D. Drummond) and at Renmin University of China in Beijing (Hui Hu) have uncovered universal behavior in strongly interacting fermions. |
Extension of Einstein's workPosted: 20 December 2005An ACQAO research team has celebrated the end of the Einstein International Year of Physics by developing a new theory based on work originated by the great scientist. |
|
2004 Massey Medal awarded to Peter DrummondPosted: 22 December 2004The 2004 Massey Medal, a joint AIP-IOP prize, has been awarded to Professor Peter Drummond of the University of Queensland for his work on many-body theories and quantum optics. |
|
Launch of the book "Quantum Squeezing"Posted:15 November 2004The book "Quantum Squeezing" (Eds. Peter Drummond and Z. Ficek) will be launched on Monday 22 November 2004, at 4:00pm in the Conference Room 237 (Bld. 6, Physics Annexe, Department of Physics, University of Queensland, St Lucia Campus). |
|
Nobel Prize-winner confirms UQ physics theoryPosted: 17 May 2004The Nobel Prize winning research group of Professor Bill Phillips at the US National Institute of Standards and Technology (NIST), this week published an experimental confirmation of a recent theoretical prediction of Dr Karen Kheruntsyan and Professor Peter Drummond. |
|
Love and Hate Between Atoms on a WirePosted: 24 July 2003Atomic correlations are like human relations. Now we can tell exactly how much 'like' or 'dislike' atoms have for each other when confined to a wire-like waveguide at ultra-low temperatures. |














