Skip to Content

Spin Bragg spectroscopy

August 2012

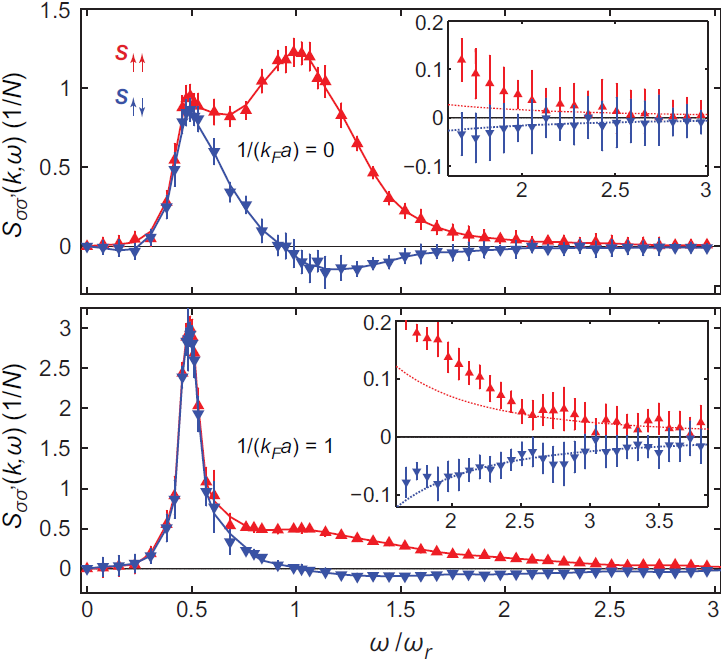
Ultracold Fermi gases near a Feshbach resonance provide a well-controlled setting to explore the intricacies of superfluidity. Researchers at Swinburne's Centre for Atom Optics and Ultrafast Spectroscopy have developed the new technique of Spin Bragg Spectroscopy to probe the dynamic spin susceptibility which has not previously been studied in these systems.

In a paper published in Physical Review Letters the Swinburne team report the measurement of the dynamic spin response of a gas of 6Li atoms in the superfluid phase. These measurements revealed the role played by pair-correlations between different combinations of spin states in determining the excitation spectrum, as well as seeing evidence for universal scaling behaviour at high energies.

Reference: Phys. Rev. Lett. 109, 050403 (2012)

Top