|
Cold-atom confinement resonance mystery solved
September, 2011
In a new paper just accepted by Physical Review A, Swinburne University of Technology theorists Shiguo Peng, Xiaji Liu, Hui Hu and Peter Drummond, have solved an outstanding physics mystery. Physicists have searched for years for a resonant particle-like structure in low dimensional systems of cold atoms, predicted by theorist Maxim Olshanii of University of Southern California. In a mysterious experiment carried out at Innsbruck University, the Austrian experimentalists found many new particle-like resonances - but none corresponding to the predictions. Swinburne University theorists have now explained this.
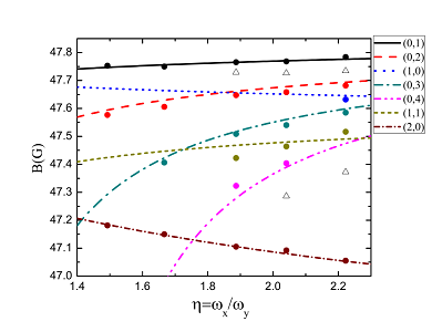
Their theory predicts resonances quite different to the Olshanii theory. These new anharmonic confinement-induced resonances (ACIR) are unique to the laser-light optical waveguides used in Innsbruck to channel trapped atoms. They are caused by the anharmonic nature of the waveguide, which allows relative motion of atoms to be transformed into center-of-mass motion of a transverse resonance.
This is pictured schematically in (a), above, compared to the older theory (b). The calculations give a nearly perfect fit to the experimental observations (below). A few remaining unknown resonances are possibly due to multiple ACIR excitations. Shiguo Peng participated in the research while on student exchange from Tsinghua University in Beijing, China, as part of an Australian Research Council funded research exchange project.
The work has been published in Physical Review A.
Link to paper:

|