Ultracold fermi gas laboratory
Our research uses gases of lithium-6 atoms cooled to nanoKelvin temperatures to study superfluidity in Fermi systems and understand how the superfluid depends on the way particles in the gas interact with each other.
In recent decades it has become possible to cool gases of neutral atoms down to the lowest-known temperatures in the universe, only a few billionths of a degree above absolute zero. At such extreme conditions, new phases can be found, such as Bose-Einstein condensates and superfluids that display remarkable properties such as the ability to transport particles with zero energy dissipation. While individual atoms are relatively well understood, when corralled in a many-body setting they display rich collective behaviours that enable precision tests of theoretical models that may help explain phenomena observed in complex materials such as superconductors and topological insulators. Cold atoms may therefore play a significant role in future developments in quantum materials and technologies.
In the ultracold Fermi gas experimental group, we use gases of Li-6 atoms to investigate strongly correlated fermions in the crossover from a Bardeen-Cooper-Schrieffer (BCS) superfluid of Cooper pairs to a Bose-Einstein condensate (BEC) of molecules. The ability to control the interparticle interactions using Feshbach resonances, as well as the confining potential and dimensionality of the system, enable us to characterise these Fermi systems with unprecedented accuracy. We have developed several innovations to probe these systems as highlighted in our specific areas of interest.
Our research projects
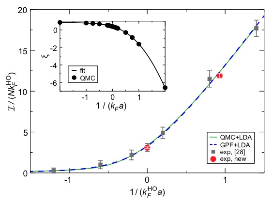
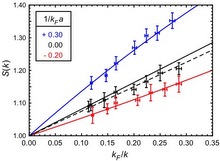
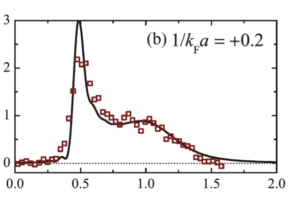
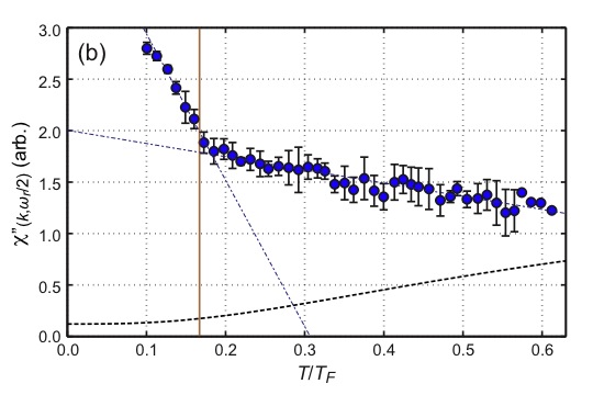
Our recent work has focussed on measuring excitations and universal properties using Bragg spectroscopy¹⁻³ and Fermi gases confined to move in two spatial dimensions⁴⁻⁵. As part of the ARC Centre of Excellence for Future Low-Energy Electronic Technologies (FLEET) we are testing new paradigms for dissipationless transport in topological and non-equilibrium quantum matter synthesised from ultracold atoms.
¹High-Frequency Sound in a Unitary Fermi Gas, C. C. N. Kuhn, S. Hoinka, I. Herrera, P. Dyke, J. J. Kinnunen, G. M. Bruun, and C. J. Vale, Phys. Rev. Lett. 124, 150401 (2020).
²Contact and Sum Rules in a Near-Uniform Fermi Gas at Unitarity, C. Carcy, S. Hoinka, M. G. Lingham, P. Dyke, C. C. N. Kuhn, H. Hu, and C. J. Vale, Phys. Rev. Lett. 122, 203401 (2019).
³Goldstone Mode and Pair-Breaking Excitations in Atomic Fermi Superfluids, S. Hoinka, P. Dyke, M. G. Lingham, J. J. Kinnunen, G. M. Bruun, and C. J. Vale, Nature Phys. 13, 943 (2017).
⁴Quantum Anomaly and 2D-3D Crossover in Strongly Interacting Fermi Gases, T. Peppler, P. Dyke, M. Zamorano, I. Herrera, S. Hoinka, and C. J. Vale, Phys. Rev. Lett. 121, 120402 (2018).
⁵Thermodynamics of an attractive 2D Fermi gas, K. Fenech, P. Dyke, T. Peppler, M. G. Lingham, S. Hoinka, H. Hu, and C. J. Vale, Phys. Rev. Lett. 116, 045302 (2016).
Our team
- Dr Paul Dyke (Group Leader)
- Dr Sascha Hoinka (Collaborator)
- Professor Chris Vale (Collaborator)
Funding
ARC DP170104144 – Universal few-to-many-body physics in 2D Fermi gases
ARC CE170100039 – ARC Centre of Excellence in Future Low-Energy Electronics Technologies
Keen to be involved with our research?
We have openings for PhD, MSc and Honours students in the areas mentioned above. Please contact Dr Paul Dyke on pdyke@swinburne.edu.au for details or check out more project opportunities in other research areas.
Explore our other research programs
-
Anyon technologies
-
Applied optics
-
Cell biophysics
-
Complex systems
-
Immune cell fate determination
-
Nonlinear physics
-
Optical nanoparticle spectroscopy for photonic application laboratory
-
Dysprosium quantum gas microscope laboratory
-
Quantum theory
-
Time crystals with ultracold atoms
-
Ultrafast spectroscopy
Contact the Optical Sciences Centre
There are many ways to engage with us. If your organisation is dealing with a complex problem, get in touch to discuss how we can work together to provide solutions. Call us on +61 3 9214 8096 or email osc@swinburne.edu.au.